Cost: $0-100
About These Ratings
Difficulty: Easy; no special skills needed. Danger 1: (No Hazards) Utility:

------------------------

Simple Ways to Calculate the Orbits of Space Vehicles

---------------------

by C. L. Stong
January, 1969

---------------------

EACH TIME A MANNED SATELLITE is sent aloft the world waits anxiously to learn if it has gone into orbit. News reports of the event sometimes include pictures of technicians feeding data into computers that forecast the characteristics of the orbit. This tends to create the impression that space navigation is totally beyond the resources of amateurs-that the prediction of orbits is something that can be done only by experts in astrodynamics who have access to electronic computers. There is some truth in this assumption. Still, it is not the whole truth, says Stephen A. Kallis, Jr., an aerospace technologist of Acton, Mass. Kallis maintains that a reasonably satisfactory prediction of where, how fast and how far a space vehicle will go can be made by anyone who can count on his fingers, and he insists that it is a lot of fun to do.


Figure 1: Conic-section paths of bodies in space

"The ease with which predictions can be made mathematically," Kallis writes, "depends largely on how accurate the results must be to satisfy the person who seeks the information. Consider the husband who asks his wife what time dinner will be ready. Doubtless he would be satisfied if she answers, 'In about 10 minutes.' An answer of 'Nine minutes, 25 and six-tenths seconds' might strike him as excessively precise if he merely wants to know if it is time to wash his hands. On the other hand, imagine the response of a professional astronomer waiting to photograph an eclipse of the sun if he were told that the eclipse would occur 'sometime' that morning.

"If the amateur is willing to settle for something less than split-second accuracy, the prediction of orbital characteristics is fairly easy. I have calculated a number of predictions in the sands of a Florida beach, using a seashell as the writing instrument. The simplified predictions ignore small differences between calculated orbits and actual orbits caused by such factors as the pressure exerted on the satellite by sunlight, collisions with dust particles in space and the slow precession, or rotation, of the orbit.

"In addition I revise nature a bit in the interest of simplification. First, I assume that all the planets travel around the sun in circular orbits. In actuality most of the orbits are slightly elliptical. Second, I assume that space vehicles are affected by only one gravitational field-again an assumption that is not true. The universal law of gravitation states that every particle of mass in the universe attracts every other particle. The force falls off very rapidly with distance, however. Space probes are affected minutely by the gravitation of a distant planet, but the effect can be ignored for closely approximating the shape of a predicted orbit. Third, I assume that the orbits of all the planets lie in the same plane, which is another assumption that can be made without doing violence to the desired accuracy. Only Mercury and Pluto are extreme exceptions in any case. For example, the orbit of Mercury is inclined seven degrees from the plane of the ecliptic; the difference between the inclined and coplanar orbits produces an arrival-time deviation that is small in relation to the time required by a space probe to reach its orbit.


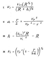
Figure 2: Formulas devised by Stephen A. Kallis, Jr.

"In discussing the technique of predicting orbits I use one mathematical symbol that is not always taught in arithmetic courses. I substitute an exponent for the radical sign that is used customarily for indicating roots. For example, if a represents a number, the symbol a1/2 means 'the square root of a.' Thus if a = 9, then a1/2 = 3. Similarly, I use the fractional exponent to indicate the multiplication of a root by itself. The number of multiplications to be made-is indicated by the numerator of the exponent. For example, in absolute terms, if a = 9, then 91/2 x 91/2 x 91/2 = 93/2 = 3 x 3 x 3 = 27. Again, if a = 4, then a3/2 = 8. Incidentally, much of the pain of extracting a square root can be avoided by using a six-place table of logarithms, and a desk calculating machine can take over the drudgery of doing multiplications and divisions. These, however, are merely laborsaving techniques. You get the same results with pencil and paper.

"Thus equipped, you are set to proceed. All bodies travel in space along one or another of the familiar set of curves known as the conic sections: the circle, the ellipse, the parabola, the hyperbola and the straight line [see Figure 1]. Of these curves only two-the circle and the ellipse-form a closed path. Therefore satellites that orbit the earth or any other natural body must travel in one or the other of these paths.

"If a satellite is given barely enough velocity to stay aloft, it will pass through all points on its orbit at its minimum altitude and its path will be a circle. The satellite is then said to have 'circular velocity.' If the satellite has somewhat more than this minimum velocity when it passes through its point of minimum altitude, the path will elongate into an ellipse that reaches maximum altitude at a point on the orbit directly opposite the point of minimum altitude. The satellite is then said to have an 'elliptical velocity.'

"As more and more velocity is imparted to the satellite or any other space vehicle the ellipse expands until at one critical velocity it opens into a parabola. At this velocity the probe overcomes the gravitational attraction of the earth and plunges into space, never to return. It has achieved one of many possible 'escape velocities,' in this case 'parabolic velocity.' Should even more velocity be imparted to the probe, the path will bend into one of many possible shallower curves known collectively as the hyperbolas and will have 'hyperbolic velocity.' If it were possible for the probe to acquire infinite velocity, the hyperbolic path would flatten into a straight line, the final curve in the family of conic sections.

"To compute the behavior of a satellite at any velocity we first need to know its parabolic velocity with respect to a selected body such as the earth. The selected body is known as the 'primary.' Initially, for the purpose of this discussion, we may assume an airless, nonrotating primary body. It turns out that parabolic velocity is the velocity an object would acquire by falling through a distance equal to the radius of the attracting primary body at a constant gravitational acceleration equal to the acceleration at its surface.


Figure 3: Elements of an elliptical orbit

"One might consider the parabolic velocity of the earth. The average radius of the earth is 2.09029 x 107 feet. (The term 107 means that the decimal point of the preceding figure must be moved seven places to the right; the notation in this case is merely another way to write 20,902,900 feet.) The acceleration of the earth's gravity is 32.174 feet per second per second. The distance a body falls is equal to half of the product of the acceleration of gravity multiplied by the square of the time during which the body falls. The time of fall is equal to the square root of half of the product of the distance divided by the acceleration of gravity. In these conditions an object falling one earth radius would need a time of (1/2 x 2.09029 x 107/32.174)1/2, or 1,140.1, seconds. The velocity acquired by a body that falls through a known distance at a constant acceleration is equal to the acceleration of gravity multiplied by the time of fall, in this example 32.174 x 1,140.1, or approximately 36,680, feet per second. To convert the velocity into miles per second divide 36,680 by 5,280 (the number of feet in a mile) to get 6.945 miles per second. This, then, is the parabolic velocity of an earth satellite, the minimum velocity the object must have to escape from the earth's gravitational field.

"What velocity must a satellite have to orbit the earth in a circular path? Interestingly enough, the circular velocity of an object orbiting any planet at any altitude is equal to the parabolic velocity at the altitude of interest divided by the square root of 2. Expressed in algebraic notation the formula is vc = vp/21/2, in which vc represents circular velocity and vp represents parabolic velocity. Using this formula in the case of an earth satellite, the circular velocity at sea level is equal to 36,680/1.42, or 25,830, feet per second. Transforming feet into miles yields 25,830/5,280, or 4.892, miles per second. A satellite could not orbit the earth at sea level, of course, because it would be burned up by friction with the air. Nevertheless, the figure is most useful for computing orbits at higher altitudes.

"If we let vcs stand for the circular velocity of a satellite at the surface of the primary body, R for the radius of the primary body and h for the altitude of the satellite above the body, the circular velocity at the selected altitude is equal to vcs x R1/2/(R + h)l/2. When the circular velocity at the selected altitude has been determined, the parabolic velocity at the same altitude is computed simply by multiplying the circular velocity by the square root of 2. This figure is useful for determining the additional velocity that must be imparted to a deep-space probe to launch it from an orbiting vehicle.

"What of orbits that are neither parabolas nor circles? Between these two limits lies the region of elliptical orbits [see Figure 3]. An ellipse is a closed curve with two focal points. The center of gravitational attraction always lies at one of these two foci. When a satellite is on an elliptical orbit around its primary body, the point of closest approach is known as the 'peri-position.' In the case of the earth this point is called the 'perigee,' in the case of the sun the 'perihelion,' in the case of an unspecified star the 'periastron' and so on. At its periposition the orbiting body is always traveling faster than the circular velocity but always traveling slower than the corresponding parabolic velocity.

"A line drawn through the two foci of an ellipse so that it extends to the ellipse itself is known as the major axis of the ellipse. One-half of this length, extending from the center of the ellipse to either point of intersection with the curve, is called the semimajor axis, usually denoted by the letter a; the dimension is most useful for making orbital computations. Another important line can be drawn from the body that is in orbit to the center of its primary body. This line, which is called the radius vector, changes in length continuously if the orbit is an ellipse but remains constant in length if the orbit is a circle.

"The semimajor axis of an ellipse can be computed easily if the parabolic velocity, the peri-position velocity and the peri-position radius vector of the orbiting body are known. It is equal to half of the peri-position radius vector multiplied by the quotient of the square of the parabolic velocity divided by the difference beetween the square of the parabolic velocity minus the square of the velocity at the peri-position, as shown symbolically by the accompanying equation [II in Figure 2], in which a stands for the semimajor axis, r for the peri-position radius vector, v for the velocity at the peri-position and vp for the parabolic velocity at that altitude.


Figure 4: The Hohmann orbit

"For example, assume that a body is 400 miles above the surface of the earth at perigee and that its velocity at this point is 18,000 miles per hour. First determine the circular and parabolic velocities at a point 400 miles above the earth (h) using the procedures discussed above. The mean radius of the earth (R) is 3,958.8 miles. R + h is therefore 4,358.8 miles. The parabolic velocity comes out to 23,932 miles per hour. Its square is numerically equal to approximately 572,740,000, and the square of 18,000 miles per hour is 324,000,000. Their difference is 248,740,000. Using formula II, the semimajor axis (a) is equal to 4,358.8/2 x 572,740,000/248,740,000, or 5,012, miles. Doubling this length gives the length of the major axis (2a): 2 x 5,012, or 10,024, miles. The radius vector at apogee can now be found simply by subtracting the sum of the perigee radius vector plus the earth's radius, R + h, from the major axis: 10,024 - 3,958 + 400, or 5,666, miles at apogee. The altitude of the satellite at apogee is then found by subtracting the earth's radius from the radius vector at apogee: 5,666 - 3,958.8, or 1,707.2, miles.

"It was Johannes Kepler who first pointed out that the product of the velocity of an orbiting body and its radius vector is constant at the apo-point and peri-point of the orbit, which means that if three of these quantities are known, the fourth can be determined. Stated symbolically, r1 x v1 = r2 x v2, in which r1 is the peri-radius vector, r2 is the apo-radius vector and v1 and v2 are the respective velocities at these points. If the altitude of an earth satellite at perigee is 400 miles, and the velocity at this point is 18,000 miles per hour, and if its altitude at apogee is 1,707.2 miles, what is its velocity at apogee? As calculated above, the corresponding radius vector at perigee is 4,358.8 miles (earth's radius of 3,958.8 + 400 miles) and the radius vector at apogee is 5,666 miles. Solving for the desired velocity at apogee is a simple matter of proportion: r1 x vl/r2 = v2 or, expressed numerically, 18,000 x 4,358.8/5,666,or l3,847, miles per hour.

"These formulas are useful for solving other interesting problems. For example, if a body is on an elliptical orbit at an altitude of r miles at apogee and has a velocity of y miles per hour at this point, how much additional velocity must it acquire in order to leave the primary body? The answer is found by computing the parabolic velocity at r miles and subtracting the velocity at apogee.

"At what altitude does 18,000 miles per hour become the parabolic velocity of an earth satellite? To find the answer divide 18,000 by the square root of 2. This gives the circular velocity. Insert the circular velocity in the equation for circular velocity. R, vc and vcs are known but R + h is unknown. To find h multiply the square of vc by R, divide the product by the square of vc and subtract R, as indicated symbolically by the accompanying formula [III in Figure 2].

"The same general formulas work in the case of interplanetary orbits, but for convenience distance is measured in terms of astronomical units (A.U.) instead of miles. Astronomers selected the average distance between the earth and the sun, some 93,000,000 miles, as the length of the astronomical unit. As an illustration of its use, consider the case of the planet Mercury. Mercury is about 3.6 x 107 miles from the sun, whereas the earth is about 9.3 x 107 miles from it. To put the matter another way, Mercury is 3.6/9.3, or 39 percent, of the earth's distance from the sun. Astronomers state that Mercury is .39 A.U. from the sun.


Figure 5: Gravitational behavior of a body in space

"With this unit in mind we can proceed to problems that involve 'minimum energy' probes. The term refers to the path a probe must follow if it is to consume the minimum amount of fuel. Suppose an orbiting earth satellite is to be sent to another planet, such as Venus or Mars. How much must its elliptical orbit be enlarged? How many days will the flight require? What must the spacecraft's velocity be?

"The German engineer Walter Hohmann proved in 1925 that minimum energy is required to transfer a body from one planet to another if it traverses an elliptical path that is tangent to the natural orbits of both the primary planet and the distant planet [see illustration above]. A path of this kind is known as a Hohmann trajectory. The Hohmann trajectory is characterized by a disadvantage: it entails the slowest trip between the primary planet and the target. With present rocket fuels and engines, however, economy of fuel is more important than shortening the time of flight.

"How much time will a space probe require to travel from the earth to, say, Mars if it follows a Hohmann trajectory? First, the semimajor axis of the Hohmann ellipse must be determined. As mentioned above, the sum of the periradius and apo-radius vectors is equal to the major axis of the ellipse. The distance of the sun from Mars is 1.524 A.U. and from the earth 1 A.U. The major axis of the Hohmann ellipse that is tangent to the orbits of earth and Mars is therefore 2.524 A.U. The semimajor axis is 2.524/2, or 1.262, A.U.

"The time of travel can now be computed by calling on Kepler's third law, which states that the ratio of the cube of the semimajor axis of an orbit to the square of the orbital period is constant for all bodies with respect to the primary body. If a represents the semimajor axis of the Hohmann ellipse and T represents the period (the time of a single rotation), then Kepler's third law can be restated in this form: a3 = T2, or T = a3/2. Substitute the numerical value of the semimajor axis into the equation: T = 1.2623/2. The probe will travel over only half of the Hohmann ellipse to reach Mars. Therefore we divide by 2: 1.2623/2/2, or .70908, earth-year. Convert this to days: 365 (days per year) X .70908, or 258.81, days. In other words, if the probe were launched from the earth on March 4, it would reach Mars 258 days later, on October 17. Strictly speaking, there is no set time of flight between any two orbits, nor is it correct to say that it takes 258 days to go from the earth to Mars unless you specify that the flight follow the Hohmann trajectory. Flight time can be reduced by following a faster orbit, but at the cost of precious fuel.

"The satellite folmulas are equally useful for determining the orbits of bodies around the sun. Up to this point 'radius' has been taken to mean the distance between the center and the surface of a body such as the earth. We give it a new meaning for determining orbits around the sun. The change is based on an observation by Isaac Newton that gravitation acts as though all the mass of a primary body were concentrated at the center of the body [see Figure 5]. The assumption is valid if we do not penetrate the surface of the body. Therefore we can imagine a body in the form of a vast shell around the sun, a shell equal in radius to that of the planetary orbit under consideration.

"For a satellite that orbits the sun at a radius of 1 A.U. from the sun the procedure for determining the circular velocity at this radius demonstrates that r the velocity is 18.5 miles per second, which is approximately the earth's velocity. Another example: What is the circular velocity of a body in the same orbit as Jupiter, which is 5.203 A.U. from the sun? Substituting numerical values in the equation for circular velocity: vc = 18.5/(5.203/1)1/2 = 18.5/ 5.2031/2, or 8.07, miles per second.

"Finally, there are problems of this type: How much velocity must be added to a space probe orbiting the sun in a circular path at the distance of 1 A.U. for the probe to reach Mars by a Hohmann trajectory? If we call the velocity of the probe at perihelion vt we can state that vt = vcs + va, where va is the velocity that must be added to the circular velocity (vcs) at 1 A.U. If vt and vcs are known, va can be found by simple subtraction: va = vt - vcs. We know how to find the circular velocity, vcs, but how do we find vt? It is equal to the square root of the square of the parabolic velocity multiplied by 1 minus the radius divided by the major axis of the ellipse. The relation is expressed in algebraic notation by the accompanying formula [IV in Figure 2], in which vp represents the parabolic velocity, r the radius and 2a the major axis.

"Assume that a space probe is ready to be launched from the earth. Being on the earth, it is already orbiting the sun at the velocity of the earth. How much velocity must it have after escaping the earth to send it to Mars? The major axis of the Hohmann ellipse, represented by 2a, is equal to the sum of the radii of the orbits of the earth and Mars. The parabolic velocity can be determined by multiplying the circular velocity (18.5 miles per second) by the square root of 2. The radius r is unity (1 A.U.), so that vt = (26.162 x (1 - 1/2.524))1/2 = (684.5 x (1 - 1/2.524))1/2, or 20.33, miles per second, which is the velocity of the probe at perihelion after it takes off from the earth. The added velocity that must be imparted to the probe for it to reach Mars is the difference between vp and vcs, or 20.33 - 18.50, or 1.83, miles per second. To solve problems of this kind for probes departing from planets other than the earth just substitute for the radius of the earth's orbit the orbital radius in A.U.'s of the other planet.

"As a practical consideration we must work with existing fuels and rocket engines and follow the Hohmann ellipse. If we had vehicles capable of acquiring any desired velocity, the computation of orbits would become far more complex. An infinite number of curves, from circles to hyperbolas, can be drawn between any two points. Only the Hohmann ellipse is mutually tangent to the primary and target orbits, and of course probes must describe either circular or elliptical orbits around their primary body or they cannot be satellite orbits. For this reason the procedure I have described is limited to the determination of only a few of the many theoretically possible orbits. Even so, it can serve as an introduction to the fascinating business of space navigation and can provide the novice with a starting point from which he will be able to proceed as far as he wants to go."

 

Bibliography

AN INTRODUCTION TO ASTRODYNAMICS. Robert M. L. Baker, Jr., and Maud W. Makemson. Academic Press, 1960.

 

Suppliers and Organizations

Sky Publishing is the world's premier source of authoritative information for astronomy enthusiasts. Its flagship publication, Sky & Telescope magazine, has been published monthly since 1941 and is distributed worldwide. Sky also produces SkyWatch, an annual guide to stargazing and space exploration, plus an extensive line of astronomy books, star atlases, observing guides, posters, globes, and related products. Visit Sky Publishing's Web site at www.skyandtelescope.com

Sky Publishing Corporation
49 Bay State Road
Cambridge, MA 02138, USA
Phone: 800-253-0245 (U.S./Can.), +1 617-864-7360 (Int'l.)
Fax: +1 617-864-6117
E-mail: skytel@skypub.com

The Society for Amateur Scientists (SAS) is a nonprofit research and educational organization dedicated to helping people enrich their lives by following their passion to take part in scientific adventures of all kinds.

The Society for Amateur Scientists
5600 Post Road, #114-341
East Greenwich, RI 02818
Phone: 1-401-823-7800

Internet: http://www.sas.org/